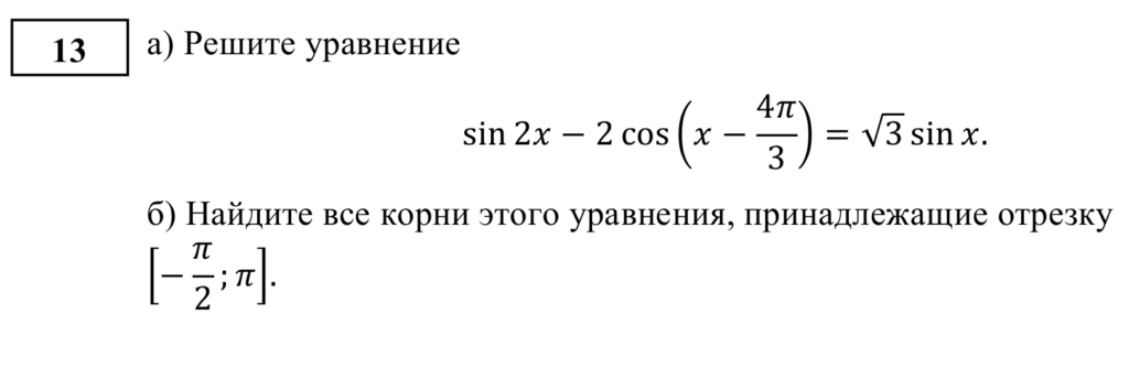
Решим задание № 13 тригонометрические уравнения уравнения на формулы суммы ЕГЭ математика профиль

Решим задание № 13 тригонометрические уравнения уравнения на формулы суммы ЕГЭ математика профиль

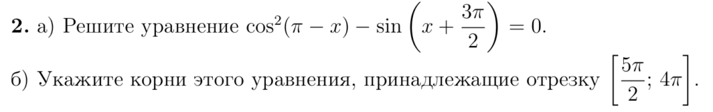
Решим задание № 13 тригонометрические уравнения уравнения на формулы приведения ЕГЭ математика профиль

Решим задание № 13 тригонометрические уравнения уравнения на формулы приведения ЕГЭ математика профиль
